This website requires JavaScript.
Explore
Help
Register
Sign In
sqlmapproject
/
sqlmap
Watch
1
Star
1
Fork
0
You've already forked sqlmap
mirror of
https://github.com/sqlmapproject/sqlmap.git
synced
2026-02-06 15:39:37 +03:00
Code
Issues
Packages
Projects
Releases
Wiki
Activity
09b20fcf10
sqlmap
/
lib
/
utils
/
api
/
dist
/
assets
/
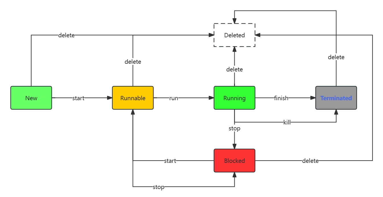
task status-eae29857.jpg
Name
09b20fcf10
add-colnm-ilter-and-sort-feature for web ui
2023-12-24 15:18:51 +08:00
46 KiB
1345x692px
Raw
History